国际肿瘤学杂志 ›› 2024, Vol. 51 ›› Issue (12): 755-762.doi: 10.3760/cma.j.cn371439-20240910-00128

• 论著 • 上一篇    下一篇

老年肾透明细胞癌患者发生肺转移的列线图预测模型构建

李甜1,2, 伍杨2, 张江明2, 席春生1()   

  1. 1中国人民解放军联勤保障部队第九四〇医院肾脏病科,兰州 730050
    2甘肃中医药大学第一临床医学院,兰州 730000
  • 收稿日期:2024-09-10 修回日期:2024-10-25 出版日期:2024-12-08 发布日期:2025-01-07
  • 通讯作者: 席春生 E-mail:chunshxi@sina.com
  • 基金资助:
    兰州市科技计划(2023-ZD-173);甘肃省卫生健康行业科研计划(GSWSKY2022-51);联勤保障部队第九四〇医院专项课题(2022yxky017)

Construction of a nomogram prediction model for lung metastasis in elderly patients with clear cell renal cell carcinoma

Li Tian1,2, Wu Yang2, Zhang Jiangming2, Xi Chunsheng1()   

  1. 1Department of Nephrology, 940th Hospital of Joint Logistics Support Force of Chinese People's Liberation Army, Lanzhou 730050, China
    2First School of Clinical Medical of Gansu University of Chinese Medicine, Lanzhou 730000, China
  • Received:2024-09-10 Revised:2024-10-25 Online:2024-12-08 Published:2025-01-07
  • Contact: Xi Chunsheng E-mail:chunshxi@sina.com
  • Supported by:
    Lanzhou Science and Technology Plan Project (2023-ZD-173)(2023-ZD-173);Gansu Province Health Industry Scientific Research Plan Project(GSWSKY2022-51);Special Project of the 940th Hospital of the Joint Logistics Support Force(2022yxky017)

摘要:

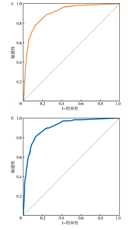
目的 基于监测、流行病学和最终结果(SEER)数据库探讨老年(≥60岁)肾透明细胞癌(ccRCC)患者发生肺转移的影响因素,以此构建列线图预测模型并进行评估。方法 利用SEER数据库检索2017年至2021年老年ccRCC患者的资料。采用R4.4.1软件将筛选后的8 183例ccRCC患者以7∶3的比例随机分配至训练集(n=5 728)和验证集(n=2 455)。计算老年ccRCC患者肺转移发生率,采用单因素和多因素logistic回归分析老年ccRCC患者发生肺转移的影响因素。根据多因素分析结果构建列线图预测模型,采用受试者操作特征(ROC)曲线评估模型的预测效能,采用校准曲线和决策曲线分析(DCA)评估预测模型的临床应用价值。结果 共检索到8 183例老年ccRCC患者,发生肺转移620例,肺转移发生率为7.58%。单因素分析显示,种族(白种人:OR=1.58,95%CI为1.01~2.49,P=0.046;其他:OR=1.85,95%CI为1.10~3.10,P=0.020)、性别(OR=1.32,95%CI为1.07~1.64,P=0.009)、肿瘤最大径(55~95 mm:OR=8.22,95%CI为6.11~11.07,P<0.001;>95 mm:OR=28.12,95%CI为20.81~37.99,P<0.001)、T分期(T2期:OR=15.62,95%CI为11.51~21.19,P<0.001;T3期:OR=7.93,95%CI为6.06~10.36,P<0.001;T4期:OR=28.65,95%CI为18.71~43.86,P<0.001)、N分期(OR=17.18,95%CI为13.36~22.10,P<0.001)和手术情况(OR=0.12,95%CI为0.09~0.14,P<0.001)均是老年ccRCC患者发生肺转移的影响因素。多因素分析显示,种族(白种人:OR=1.82,95%CI为1.07~3.09,P=0.027;其他:OR=2.18,95%CI为1.17~4.05,P=0.014)、肿瘤最大径(55~95 mm:OR=4.63,95%CI为3.13~6.86,P<0.001;>95 mm:OR=8.29,95%CI为5.28~13.02,P<0.001)、T分期(T2期:OR=2.26,95%CI为1.45~3.51,P<0.001;T3期:OR=3.38,95%CI为2.28~5.01,P<0.001;T4期:OR=2.45,95%CI为1.39~4.31,P=0.002)、N分期(OR=3.81,95%CI为2.81~5.17,P<0.001)和手术情况(OR=0.10,95%CI为0.08~0.14,P<0.001)均是老年ccRCC患者发生肺转移的独立影响因素。根据多因素分析结果,基于种族、肿瘤最大径、T分期、N分期和手术情况构建列线图预测模型。ROC曲线分析显示,预测模型在训练集和验证集预测ccRCC患者发生肺转移的曲线下面积(AUC)分别为0.91(95%CI为0.90~0.92)和0.91(95%CI为0.89~0.93),表明预测模型具有优秀的区分能力。校准曲线显示,训练集和验证集实际发生概率均与预测概率较为一致,表明预测模型的校准度较好。DCA显示,预测模型的辨别能力在训练集和验证集中均较好,表明构建的预测模型具有潜在的临床应用价值。结论 老年ccRCC患者肺转移发生率较高,种族、肿瘤最大径、T分期、N分期和手术情况均是老年ccRCC患者发生肺转移的独立影响因素,基于上述指标构建的预测模型具有优秀的预测效能和临床应用价值,可用于预测老年ccRCC患者发生肺转移的风险。

关键词: 老年人, 癌,肾细胞, 影响因素分析, 列线图, 肺转移

Abstract:

Objective To discusse the influencing factors of lung metastasis in elderly patients (≥60 years old) with clear cell renal cell carcinoma (ccRCC) based on Surveillance, Epidemiology, and End Results (SEER) database, and to construct and evaluate the nomogram prediction model. Methods The SEER database was used to retrieve the data of elderly ccRCC patients from 2017 to 2021. The screened 8 183 ccRCC patients were randomly assigned to the training set (n=5 728) and the validation set (n=2 455) at a ratio of 7∶3 by using the software R4.4.1. The incidence of lung metastasis in elderly patients with ccRCC was calculated, and the influencing factors of lung metastasis in elderly patients with ccRCC were analyzed by univariate and multivariate logistic regression. According to the results of multivariate analysis, the nomogram prediction model was constructed, and the prediction efficiency of the model was evaluated by using the receiver operator characteristic (ROC) curve, the clinical application value of the prediction model was evaluated by calibration curve and decision curve analysis (DCA). Results A total of 8 183 elderly ccRCC patients were retrieved, including 620 patients with lung metastasis, and the incidence of lung metastasis was 7.58%. Univariate analysis showed that, race (white race: OR=1.58, 95%CI: 1.01-2.49, P=0.046; others: OR=1.85, 95%CI: 1.10-3.10, P=0.020), sex (OR=1.32, 95%CI: 1.07-1.64, P=0.009), maximum tumor diameter (55-95 mm: OR=8.22, 95%CI: 6.11-11.07, P<0.001;>95 mm: OR=28.12, 95%CI: 20.81-37.99, P<0.001), T stage (T2 stage: OR=15.62, 95%CI: 11.51-21.19, P<0.001; T3 stage: OR=7.93, 95%CI: 6.06-10.36, P<0.001; T4 stage: OR=28.65, 95%CI: 18.71-43.86, P<0.001), N stage (OR=17.18, 95%CI: 13.36-22.10, P<0.001) and surgery situation (OR=0.12, 95%CI: 0.09-0.14, P<0.001) were all influencing factors for lung metastasis in elderly patients with ccRCC. Multivariate analysis showed that, race (white race: OR=1.82, 95%CI: 1.07-3.09, P=0.027; others: OR=2.18, 95%CI: 1.17-4.05, P=0.014), maximum tumor diameter (55-95 mm, OR=4.63, 95%CI: 3.13-6.86, P<0.001; >95 mm, OR=8.29, 95%CI: 5.28-13.02, P<0.001), T stage (T2 stage: OR=2.26, 95%CI: 1.45-3.51, P<0.001; T3 stage: OR=3.38, 95%CI: 2.28-5.01, P<0.001; T4 stage: OR=2.45, 95%CI: 1.39-4.31, P=0.002), N stage (OR=3.81, 95%CI: 2.81-5.17, P<0.001) and surgery situation (OR=0.10, 95%CI: 0.08-0.14, P<0.001) were independent influencing factors of lung metastasis in elderly patients with ccRCC. According to the results of multivariate analysis, a nomogram prediction model was constructed based on race, maximum tumor diameter, T stage, N stage and surgery situation. ROC curve analysis showed that the area under the curve (AUC) of the prediction model in the training set and the validation set for predicting lung metastasis in ccRCC patients was 0.91 (95%CI: 0.90-0.92) and 0.91 (95%CI: 0.89-0.93), respectively, which indicated that the prediction model had excellent distinguishing ability. Calibration curve showed that the actual occurrence probability of the training set and the validation set was consistent with the predicted probability, which showed that the calibration degree of the prediction model was good. DCA curve showed that the predictive model had good discrimination ability in both training set and validation set, which indicated that the predictive model had potential clinical application value. Conclusion The incidence of lung metastasis in elderly patients with ccRCC is high. Race, maximum tumor diameter, T stage, N stage and surgery situation are all independent influencing factors of lung metastasis in elderly patients with ccRCC. The prediction model based on the above indexes has excellent prediction efficiency and clinical application value, and can be used to predict the risk of lung metastasis in elderly patients with ccRCC.

Key words: Aged, Carcinoma, renal cell, Root cause analysis, Nomograms, Lung metastasis

Baidu
map