国际肿瘤学杂志 ›› 2025, Vol. 52 ›› Issue (5): 295-303.doi: 10.3760/cma.j.cn371439-20240716-00050

• 论著 • 上一篇    下一篇

基于2型糖尿病的乳腺癌患者无复发生存预测模型构建与效能比较

周文考1, 黄何森1, 潘艺梅1, 黄灵炎1, 王明山1, 赵方俐1, 王娅2(), 唐慧敏3()   

  1. 1厦门大学附属翔安医院急诊医学科,厦门 361001
    2大连医科大学附属第一医院乳腺外科,大连 116000
    3厦门大学附属翔安医院肿瘤诊治中心与乳腺甲状腺外科,厦门市乳甲肿瘤临床医学研究中心,厦门市内分泌肿瘤精准诊治重点实验室,福建省乳腺癌精准诊治重点实验室,厦门 361001
  • 收稿日期:2024-07-16 修回日期:2024-11-10 出版日期:2025-05-08 发布日期:2025-06-24
  • 通讯作者: 王娅,唐慧敏 E-mail:2277164964@qq.com;t8515460a@163.com
  • 基金资助:
    福建省自然科学基金(2024J08006);厦门市卫生健康高质量发展科技计划重大科研专项资助计划(〔2024〕406)

Comparison of the efficacy and construction of prediction model for relapse free survival in breast cancer based on diabetes mellitus type 2

Zhou Wenkao1, Huang Hesen1, Pan Yimei1, Huang Lingyan1, Wang Mingshan1, Zhao Fangli1, Wang Ya2(), Tang Huimin3()   

  1. 1Department of Emergency Medicine, Xiang'an Hospital of Xiamen University, Xiamen 361001, China
    2Department of Breast Surgery, First Affiliated Hospital of Dalian Medical University, Dalian 116000, China
    3Cancer Center and Department of Breast and Thyroid Surgery, Xiang'an Hospital of Xiamen University, Xiamen Clinical Medical Research Center for Breast and Thyroid Tumor, Xiamen Key Laboratory of Endocrine-Related Cancer Precision Medicine, Fujian Key Laboratory of Precision Diagnosis and Treatment in Breast Cancer, Xiamen 361001, China
  • Received:2024-07-16 Revised:2024-11-10 Online:2025-05-08 Published:2025-06-24
  • Contact: Wang Ya, Tang Huimin E-mail:2277164964@qq.com;t8515460a@163.com
  • Supported by:
    Natural Science Foundation of Fujian Province of China(2024J08006);Xiamen Health High Quality Development Science and Technology Program Major Research Special Funding Program(〔2024〕406)

摘要:

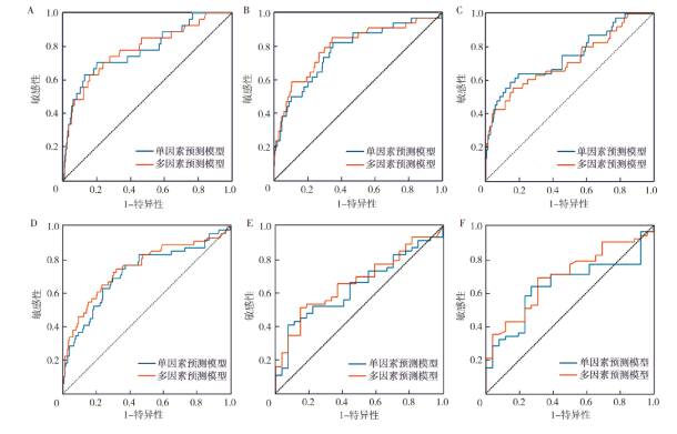
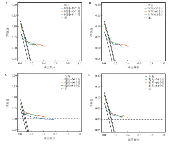
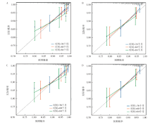
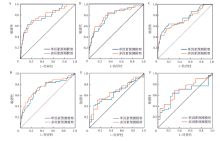
目的 构建基于2型糖尿病(T2DM)的乳腺癌患者单因素和多因素无复发生存(RFS)预测模型,并对比筛选出预测效能较高的预测模型。方法 选取2010年1月—2016年12月于大连医科大学附属第一医院收治的912例乳腺癌患者,其中合并T2DM患者202例,未合并T2DM患者710例。基于患者是否合并T2DM绘制Kaplan-Meier生存曲线,行log-rank检验。将所有患者以7∶3的比例随机分为训练集(n=640)和验证集(n=272)。采用“survival”程辑包进行乳腺癌患者RFS的单因素和多因素Cox比例风险回归模型分析,采用“rms”程辑包分别构建基于T2DM的乳腺癌患者单因素和多因素RFS预测模型,使用临床决策曲线和校正曲线对两种模型进行验证,采用受试者操作特征(ROC)曲线对两种模型的预测效能进行对比分析。结果 训练集和验证集患者在年龄、T2DM、手术方式、腋窝处理方法、T分期、N分期、分子分型、雌激素受体(ER)1、ER2、孕激素受体(PR)、ER和PR一致性、Ki67、人表皮生长因子受体2(HER2)方面的差异均无统计学意义(均P>0.05),组织学分级的差异有统计学意义(χ2=7.59,P=0.022)。生存分析显示,合并T2DM的患者5年RFS率为83.7%,无T2DM的患者5年RFS率为92.3%(χ2=16.61,P<0.001)。单因素分析显示,年龄(HR=1.04,95%CI为1.03~1.06,P<0.001)、T2DM(HR=2.31,95%CI为1.49~3.55,P<0.001)、手术方式(HR=2.39,95%CI为1.20~4.77,P=0.013)、腋窝处理方法(HR=2.62,95%CI为1.72~3.98,P<0.001)、T分期(T2HR=2.13,95%CI为1.36~3.31,P<0.001;T3HR=6.90,95%CI为3.35~14.22,P<0.001)、N分期(N2HR=3.87,95%CI为2.12~7.07,P<0.001;N3HR=8.61,95%CI为4.71~15.75,P<0.001)、分子分型(Luminal B:HR=2.74,95%CI为1.17~6.36,P=0.019;HER2+HR=3.64,95%CI为1.38~9.58,P=0.009;TNBC:HR=4.40,95%CI为1.71~11.34,P=0.002)、ER1(>10%:HR=0.57,95%CI为0.37~0.90,P=0.016)、ER2(HR=0.57,95%CI为0.37~0.89,P=0.015)和PR(HR=0.56,95%CI为0.37~0.86,P=0.008)均为乳腺癌患者RFS的影响因素。多因素分析显示,年龄(HR=1.04,95%CI为1.02~1.06,P<0.001)、T2DM(HR=1.82,95%CI为1.16~2.85,P=0.009)、T分期(T2HR=1.60,95%CI为1.01~2.54,P=0.046;T3HR=2.64,95%CI为1.22~5.72,P=0.014)、N分期(N2HR=3.72,95%CI为2.01~6.88,P<0.001;N3HR=5.34,95%CI为2.78~10.25,P<0.001)和ER1(>10%:HR=0.63,95%CI为0.39~0.99,P=0.046)均为乳腺癌患者RFS的独立影响因素。分别以单因素、多因素分析中P<0.05的10项、5项变量为基础构建单因素、多因素预测模型列线图,评估T2DM等因素对乳腺癌患者术后RFS的影响。临床决策曲线和校准曲线显示,两种模型对预测乳腺癌患者RFS均具有较高的预测价值且预测结果与实际观察结果一致性均较高。ROC曲线分析显示,两模型预测训练集、验证集乳腺癌患者36、60、84个月RFS率的曲线下面积(AUC)差异均无统计学意义(均P>0.05),表明两模型的预测效能相当。多因素模型因使用变量更少,更适合临床应用。结论 合并T2DM的乳腺癌患者预后更差。年龄、T2DM、T分期、N分期、ER1均为乳腺癌术后RFS的独立影响因素。基于T2DM的乳腺癌患者RFS多因素预测模型因具有较高的预测效能且使用变量更少,更适合临床应用。

关键词: 乳腺肿瘤, 糖尿病,2型, 无复发生存期, 列线图, 双模型

Abstract:

Objective To construct univariate and multivariate relapse free survival (RFS) prediction models for breast cancer patients with diabetes mellitus type 2 (T2DM) and to compare and select the model with higher predictive performance. Methods A total of 912 breast cancer patients treated at the First Affiliated Hospital of Dalian Medical University from January 2010 to December 2016 were included, of which 202 patients had T2DM and 710 patients did not. Kaplan-Meier survival curve was drawn based on whether patients had T2DM, and log-rank test was performed based on whether patients had T2DM. All patients were randomly divided into a training set (n=640) and a validation set (n=272) at a ratio of 7∶3. Univariate and multivariate Cox proportional risk regression models were used to analyze RFS in breast cancer patients with the survival package. The "rms" package was employed to construct univariate and multivariate RFS prediction models for breast cancer patients with T2DM. Clinical decision curves and calibration curves were used to validate the models. The receiver operator characteristic (ROC) curve was used to compare and analyze the prediction performance of the two models. Results There were no statistically significant differences between the training set and the validation set patients in terms of age, T2DM, surgical approach, axillary management methods, T stage, N stage, molecular sub-type, estrogen receptor (ER)1, ER2, progesterone receptor (PR), ER and PR consistency, Ki67, human epidermal growth factor receptor 2 (HER2) (all P>0.05). There was a statistically significant difference in histological grade (χ2=7.59, P=0.022). Survival analysis showed that the 5-year RFS rate was 83.7% in patients with T2DM and 92.3% in patients without T2DM (χ2=16.61, P<0.001). Univariate analysis revealed that age (HR=1.04, 95%CI: 1.03-1.06, P<0.001), T2DM (HR=2.31, 95%CI: 1.49-3.55, P<0.001), surgical approach (HR=2.39, 95%CI: 1.20-4.77, P=0.013), axillary management methods (HR=2.62, 95%CI: 1.72-3.98, P<0.001), T stage (T2HR=2.13, 95%CI: 1.36-3.31, P<0.001; T3HR=6.90, 95%CI: 3.35-14.22, P<0.001), N stage (N2HR=3.87, 95%CI: 2.12-7.07, P<0.001; N3HR=8.61, 95%CI: 4.71-15.75, P<0.001), molecular sub-type (Luminal B: HR=2.74, 95%CI: 1.17-6.36, P=0.019; HER2+HR=3.64, 95%CI: 1.38-9.58, P=0.009; TNBC: HR=4.40, 95%CI: 1.71-11.34, P=0.002), ER1 (>10%: HR=0.57, 95%CI: 0.37-0.90, P=0.016), ER2 (HR=0.57, 95%CI: 0.37-0.89, P=0.015), and PR (HR=0.56, 95%CI: 0.37-0.86, P=0.008) were all factors influencing RFS in breast cancer patients. Multivariate analysis demonstrated that age (HR=1.04, 95%CI: 1.02-1.06, P<0.001), T2DM (HR=1.82, 95%CI: 1.16-2.85, P=0.009), T stage (T2HR=1.60, 95%CI: 1.01-2.54, P=0.046; T3HR=2.64, 95%CI: 1.22-5.72, P=0.014), N stage (N2HR=3.72, 95% CI: 2.01-6.88, P<0.001; N3HR=5.34, 95%CI: 2.78-10.25, P<0.001), and ER1 (>10%: HR=0.63, 95%CI: 0.39-0.99, P=0.046) were independent factors influencing RFS in breast cancer patients. Based on the 10 and 5 variables with P<0.05 in the univariate and multivariate analyses respectively, the nomograms of the univariate and multivariate prediction models were constructed to evaluate the influence of factors such as T2DM on the postoperative RFS of breast cancer patients. Clinical decision curves and calibration curves indicated that both models had high predictive value for RFS in breast cancer patients, and the predictive results were highly consistent with the actual observed results. ROC curve analysis showed that there was no statistically significant difference in the area under the curve (AUC) of the two models for predicting the RFS rates of breast cancer patients in the training set and validation set at 36, 60, and 84 months (all P>0.05), indicating that the predictive efficacy of the two models was comparable. The multivariate model is more suitable for clinical application because it uses fewer variables. Conclusions Breast cancer patients with T2DM have poorer prognosis. Age, T2DM, T stage, N stage, and ER1 are independent factors influencing postoperative RFS in breast cancer patients. The multi-factor prediction model of RFS in breast cancer patients based on T2DM is more suitable for clinical application due to its higher predictive efficacy and fewer variables.

Key words: Breast neoplasms, Diabetes mellitus, type 2, Relapse free survival, Nomograms, Dual models

Baidu
map