国际肿瘤学杂志 ›› 2023, Vol. 50 ›› Issue (10): 600-607.doi: 10.3760/cma.j.cn371439-20230704-00114

• 论著 • 上一篇    下一篇

基线外周血炎性标志物对免疫治疗联合靶向治疗中晚期肝细胞癌患者预后的预测价值

江山, 徐阳涛, 刘昕, 陈文亮, 徐细明()   

  1. 武汉大学人民医院肿瘤中心,武汉 430060
  • 收稿日期:2023-07-04 修回日期:2023-09-11 出版日期:2023-10-08 发布日期:2023-11-08
  • 通讯作者: 徐细明 E-mail:doctorxu120@aliyun.com

Predictive value of baseline peripheral blood inflammatory biomarkers for prognosis in patients with advanced hepatocellular carcinoma treated with immunotherapy combined with targeted therapy

Jiang Shan, Xu Yangtao, Liu Xin, Chen Wenliang, Xu Ximing()   

  1. Cancer Center, Renmin Hospital of Wuhan University, Wuhan 430060, China
  • Received:2023-07-04 Revised:2023-09-11 Online:2023-10-08 Published:2023-11-08
  • Contact: Xu Ximing E-mail:doctorxu120@aliyun.com

摘要:

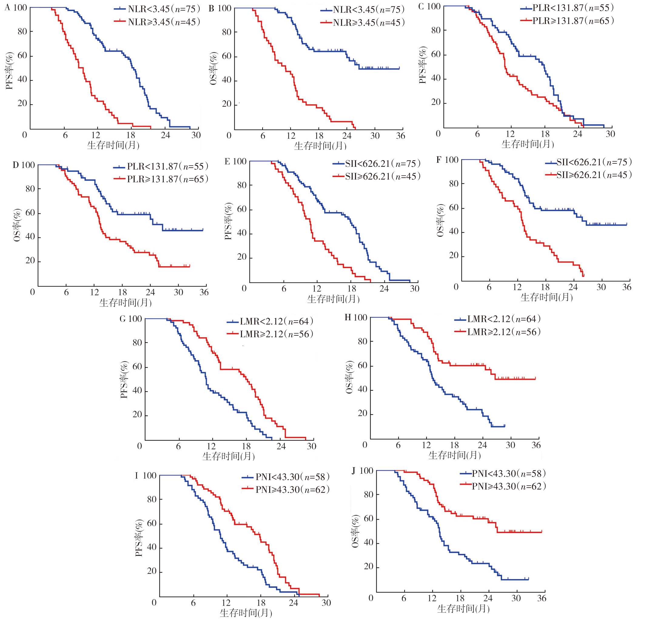
目的 探讨基线外周血炎性标志物对接受免疫治疗联合靶向治疗的中晚期肝细胞癌(HCC)患者预后的预测价值。方法 回顾性分析2019年12月至2022年3月在武汉大学人民医院肿瘤中心收治的120例接受免疫治疗联合靶向治疗的中晚期HCC患者的临床信息。应用受试者操作特征(ROC)曲线计算中性粒细胞与淋巴细胞计数比值(NLR)、血小板与淋巴细胞计数比值(PLR)、淋巴细胞与单核细胞计数比值(LMR)、系统免疫炎症指数(SII)和预后营养指数(PNI)的最佳截断值,根据最佳截断值分别将研究对象分为高值组和低值组。使用Kaplan-Meier法进行生存分析,采用Cox比例风险回归模型进行预后影响因素分析。结果 至随访结束,患者死亡74例,存活46例,中位随访时间23.0个月,中位总生存期(mOS)为15.6个月,中位无进展生存期(mPFS)为13.1个月。ROC曲线分析显示,NLR、PLR、SII、LMR和PNI的最佳截断值分别为3.45、131.87、626.21、2.12和43.30。低NLR组(n=75)患者的mPFS(18.3个月比8.7个月)和mOS(26.6个月比10.9个月)均长于高NLR组(n=45),差异均有统计学意义(χ2=55.64,P<0.001;χ2=64.14,P<0.001);低PLR组(n=55)患者的mPFS(17.9个月比10.9个月)和mOS(24.5个月比13.5个月)均长于高PLR组(n=65),差异均有统计学意义(χ2=5.27,P=0.023;χ2=11.84,P<0.001);低SII组(n=75)患者的mPFS(18.0个月比10.7个月)和mOS(25.7个月比12.8个月)均长于高SII组(n=45),差异均有统计学意义(χ2=24.46,P<0.001;χ2=25.42,P<0.001);高LMR组(n=56)患者的mPFS(18.2个月比10.9个月)和mOS(26.6个月比13.2个月)均长于低LMR组(n=64),差异均有统计学意义(χ2=19.25,P<0.001;χ2=19.92,P<0.001);高PNI组(n=62)患者的mPFS(17.9个月比10.9个月)和mOS(25.4个月比13.4个月)均长于低PNI组(n=58),差异均有统计学意义(χ2=13.69,P<0.001;χ2=19.07,P<0.001)。单因素分析显示,巴塞罗那临床肝癌(BCLC)分期(HR=1.83,95%CI为1.17~2.87,P=0.008)、Child-Pugh分级(HR=2.21,95%CI为1.47~3.34,P<0.001)、改良的白蛋白-胆红素(mALBI)分级(HR=1.35,95%CI为1.01~1.81,P=0.045)、肝外转移(HR=2.18,95%CI为1.47~3.25,P<0.001)、NLR(HR=1.40,95%CI为1.28~1.54,P<0.001)、PLR(HR=1.00,95%CI为1.00~1.01,P=0.001)、SII(HR=1.00,95%CI为1.00~1.00,P<0.001)、LMR(HR=0.64,95%CI为0.51~0.79,P<0.001)和PNI(HR=0.95,95%CI为0.93~0.98,P=0.001)均与PFS相关;BCLC分期(HR=2.18,95%CI为1.21~3.91,P=0.009)、Child-Pugh分级(HR=2.57,95%CI为1.61~4.09,P<0.001)、美国东部肿瘤协作组体力状态评分(HR=1.59,95%CI为1.01~2.51,P=0.044)、mALBI分级(HR=1.60,95%CI为1.17~2.17,P=0.003)、肝外转移(HR=2.51,95%CI为1.59~3.96,P<0.001)、NLR(HR=1.45,95%CI为1.32~1.60,P<0.001)、PLR(HR=1.01,95%CI为1.01~1.01,P<0.001)、SII(HR=1.01,95%CI为1.01~1.01,P<0.001)、LMR(HR=0.57,95%CI为0.40~0.72,P<0.001)和PNI(HR=0.92,95%CI为0.89~0.96,P<0.001)均与OS相关。多因素分析显示,肝外转移(HR=1.78,95%CI为1.10~2.87,P=0.018)和NLR(HR=1.46,95%CI为1.24~1.73,P<0.001)均为PFS的独立影响因素;肝外转移(HR=2.09,95%CI为1.21~3.61,P=0.009)、NLR(HR=1.56,95%CI为1.29~1.88,P<0.001)、SII(HR=1.00,95%CI为1.00~1.00,P=0.025)、LMR(HR=0.59,95%CI为0.45~0.78,P=0.008)和PNI(HR=0.93,95%CI为0.88~0.99,P=0.013)均为OS的独立影响因素。结论 NLR和肝外转移可作为接受免疫治疗联合靶向治疗的中晚期HCC患者预测PFS的重要指标,NLR、SII、LMR、PNI和肝外转移可作为接受免疫治疗联合靶向治疗的中晚期HCC患者预测OS的重要指标。高NLR、高SII、低LMR、低PNI和发生肝外转移提示HCC患者预后较差。

关键词: 癌,肝细胞, 分子靶向治疗, 免疫疗法, 预后, 炎性标志物, 生存分析

Abstract:

Objective To investigate the prognostic value of baseline peripheral blood inflammatory biomarkers for prognosis in patients with advanced hepatocellular carcinoma (HCC) receiving immunotherapy combined with targeted therapy. Methods The clinical data of a total of 120 patients with advanced HCC who received immunotherapy combined with targeted therapy at Cancer Center of Renmin Hospital of Wuhan University from December 2019 to March 2022 were analyzed retrospectively. Receiver operating characteristic (ROC) curve was used to calculate the optimal cut-off values of neutrophil-to-lymphocyte ratio (NLR), platelet-to-lymphocyte ratio (PLR), lymphocyte-to-monocyte ratio (LMR), systemic immune inflammation index (SII) and prognostic nutritional index (PNI). According to the optimal cut-off values, the study objects were divided into high value group and low value group. The Kaplan-Meier method was used for survival analysis. Cox proportional hazard regression model was applied to analyze the factors associated with prognosis. Results By the end of follow-up, 74 patients died and 46 survived. The median follow-up time was 23.0 months, the median overall survival (mOS) was 15.6 months, and the median progression-free survival (mPFS) was 13.1 months. ROC curve analysis showed that the optimal cut-off values of NLR, PLR, SII, LMR and PNI were 3.45, 131.87, 626.21, 2.12 and 43.30, respectively. The mPFS (18.3 months vs. 8.7 months) and mOS (26.6 months vs. 10.9 months) of patients in the low-NLR group (n=75) were longer than those of the high-NLR group (n=45), and there were statistically significant differences (χ2=55.64, P<0.001; χ2=64.14, P<0.001). The mPFS (17.9 months vs. 10.9 months) and mOS (24.5 months vs. 13.5 months) of patients in the low-PLR group (n=55) were longer than those of the high-PLR group (n=65), and there were statistically significant differences (χ2=5.27, P=0.023; χ2=11.84, P<0.001). The mPFS (18.0 months vs. 10.7 months) and mOS (25.7 months vs. 12.8 months) of patients in the low-SII group (n=75) were longer than those of the high-SII group (n=45), and there were statistically significant differences (χ2=24.46, P<0.001; χ2=25.42, P<0.001). The mPFS (18.2 months vs. 10.9 months) and mOS (26.6 months vs. 13.2 months) of patients in the high-LMR group (n=56) were longer than those of the low-LMR group (n=64), and there were statistically significant differences (χ2=19.25, P<0.001; χ2=19.92, P<0.001). The mPFS (17.9 months vs. 10.9 months) and mOS (25.4 months vs. 13.4 months) of patients in the high-PNI group (n=62) were longer than those of the low-PNI group (n=58), and there were statistically significant differences (χ2=13.69, P<0.001; χ2=19.07, P<0.001). Univariate analysis showed that Barcelona clinic liver cancer (BCLC) stage (HR=1.83, 95%CI: 1.17-2.87, P=0.008), Child-Pugh grade (HR=2.21, 95%CI: 1.47-3.34, P<0.001), modified albumin-bilirubin (mALBI) grade (HR=1.35, 95%CI: 1.01-1.81, P=0.045), extrahepatic metastases (HR=2.18, 95%CI: 1.47-3.25, P<0.001), NLR (HR=1.40, 95%CI: 1.28-1.54, P<0.001), PLR (HR=1.00, 95%CI: 1.00-1.01, P=0.001), SII (HR=1.00, 95%CI: 1.00-1.00, P<0.001), LMR (HR=0.64, 95%CI: 0.51-0.79, P<0.001) and PNI (HR=0.95, 95%CI: 0.93-0.98, P=0.001) were correlated with PFS; BCLC stage (HR=2.18, 95%CI: 1.21-3.91, P=0.009), Child-Pugh grade (HR=2.57, 95%CI: 1.61-4.09, P<0.001), Eastern Cooperative Oncology Group performance status score (HR=1.59, 95%CI: 1.01-2.51, P=0.044), mALBI grade (HR=1.60, 95%CI: 1.17-2.17, P=0.003), extrahepatic metastasis (HR=2.51, 95%CI: 1.59-3.96, P<0.001), NLR (HR=1.45, 95%CI: 1.32-1.60, P<0.001), PLR (HR=1.01, 95%CI: 1.01-1.01, P<0.001), SII (HR=1.01, 95%CI: 1.01-1.01, P<0.001), LMR (HR=0.57, 95%CI: 0.40-0.72, P<0.001) and PNI (HR=0.92, 95%CI: 0.89-0.96, P<0.001) were correlated with OS. Multivariate analysis showed that extrahepatic metastasis (HR=1.78, 95%CI: 1.10-2.87, P=0.018) and NLR (HR=1.46, 95%CI: 1.24-1.73, P<0.001) were independent influencing factors for PFS; extrahepatic metastasis (HR=2.09, 95%CI: 1.21-3.61, P=0.009), NLR (HR=1.56, 95%CI: 1.29-1.88, P<0.001), SII (HR=1.00, 95%CI: 1.00-1.00, P=0.025), LMR (HR=0.59, 95%CI: 0.45-0.78, P=0.008) and PNI (HR=0.93, 95%CI: 0.88-0.99, P=0.013) were independent influencing factors for OS. Conclusion NLR and extrahepatic metastasis can be regarded as important indicators to predict PFS in patients with advanced HCC receiving immunotherapy combined with targeted therapy, and NLR, SII, LMR, PNI and extrahepatic metastasis can be regarded as important indicators to predict OS in patients with advanced HCC receiving immunotherapy combined with targeted therapy. High NLR, high SII, low LMR, low PNI and extrahepatic metastasis indicate poor prognosis of HCC patients.

Key words: Carcinoma, hepatocellular, Molecular targeted therapy, Immunotherapy, Prognosis, Inflammatory biomarkers, Survival analysis

Baidu
map